v1.34.0 Benchmark

time-to-k8s

minikube version: v1.34.0 kind v0.24.0 go1.22.6 linux/amd64 k3d version v5.7.3
Command Exec 21.799 14.383 13.216
API Server Answering 0.054 0.056 0.052
Kubernetes SVC 0.046 0.047 0.046
DNS SVC 0.046 0.048 0.045
App Running 6.017 17.968 9.135
DNS Answering 26.761 3.109 5.146
Total 54.724 35.610 27.639

cpu-to-k8s

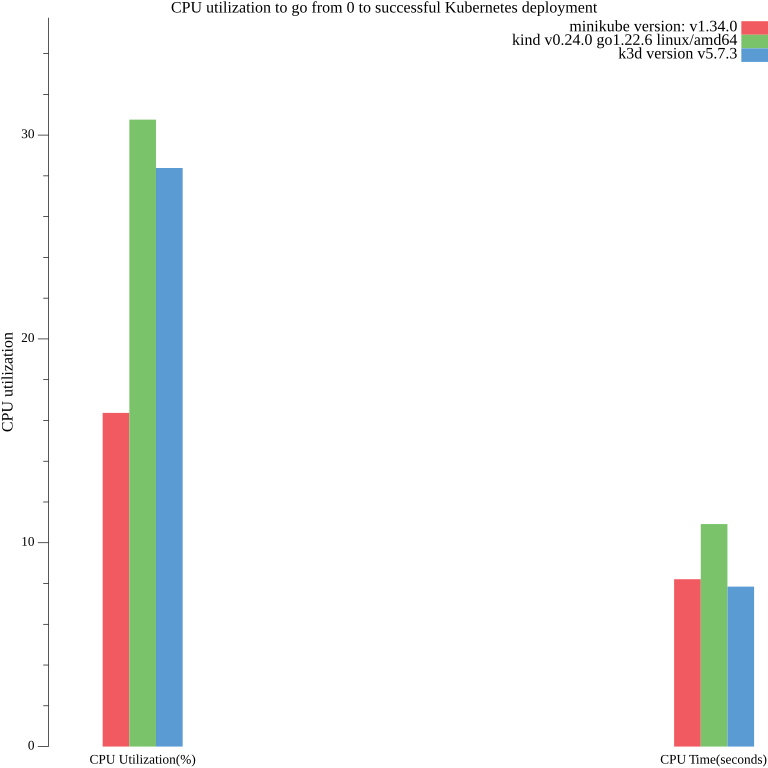
minikube version: v1.34.0 kind v0.24.0 go1.22.6 linux/amd64 k3d version v5.7.3
CPU Utilization(%) 16.371 30.759 28.387
CPU Time(seconds) 8.211 10.916 7.847

Last modified September 9, 2024: add time-to-k8s benchmark for v1.34.0 (7575af084)