v1.31.0 Benchmark

time-to-k8s

minikube version: v1.31.0 kind v0.20.0 go1.20.4 linux/amd64 k3d version v5.5.1
Command Exec 27.130 20.458 14.116
API Server Answering 0.072 0.080 0.103
Kubernetes SVC 0.062 0.066 0.091
DNS SVC 0.065 0.065 0.091
App Running 14.916 20.992 12.274
DNS Answering 31.136 2.656 1.606
Total 73.380 44.318 28.281

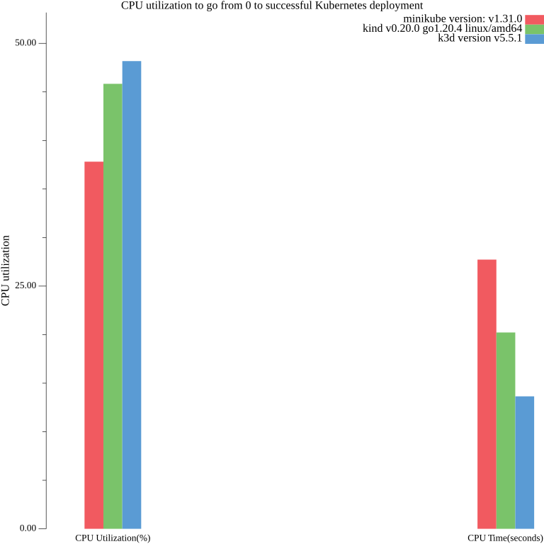
cpu-to-k8s

minikube version: v1.31.0 kind v0.20.0 go1.20.4 linux/amd64 k3d version v5.5.1
CPU Utilization(%) 37.815 45.834 48.174
CPU Time(seconds) 27.728 20.222 13.645