v1.30.0 Benchmark

time-to-k8s

minikube version: v1.30.0 kind v0.18.0 go1.20.2 linux/amd64 k3d version v5.4.9
Command Exec 31.374 24.662 16.471
API Server Answering 0.106 0.128 0.135
Kubernetes SVC 0.094 0.096 0.130
DNS SVC 0.093 0.096 0.131
App Running 15.832 23.488 15.179
DNS Answering 3.760 1.709 3.302
Total 51.258 50.179 35.348

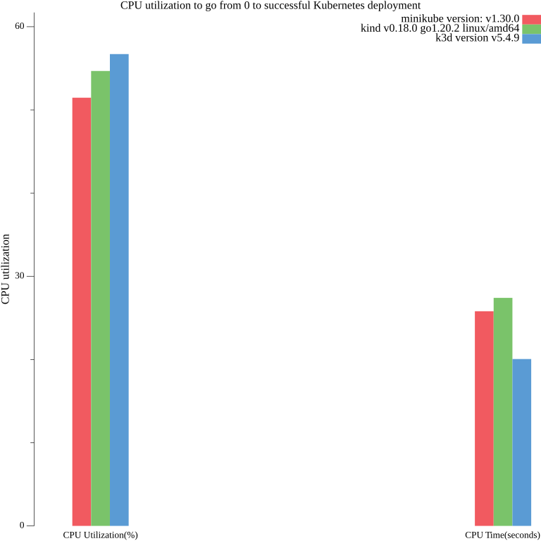
cpu-to-k8s

minikube version: v1.30.0 kind v0.18.0 go1.20.2 linux/amd64 k3d version v5.4.9
CPU Utilization(%) 51.466 54.680 56.710
CPU Time(seconds) 25.801 27.410 20.058